1. 首页 > 初中高中 > 高中教育

2026年桂林市高中招生录取分数线排名

2025年桂林市高中招生录取分数线排名。

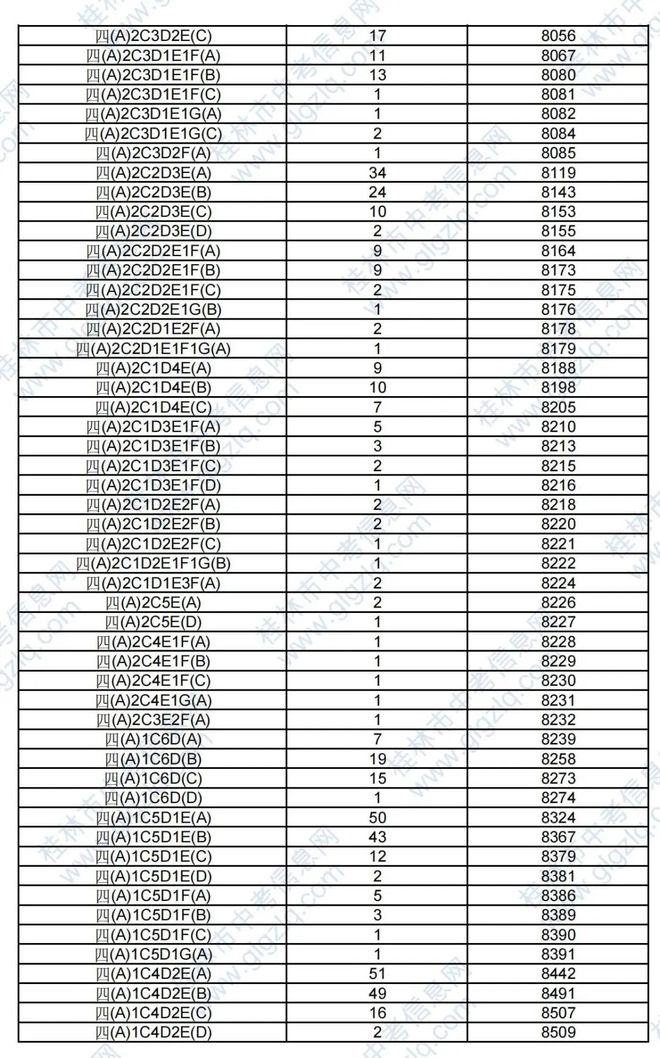
市辖区普通高中录取资格一等一档表



































临桂区普通高中录取资格一等一档表


























桂林市其余区县录取一等一档表


本文链接:https://www.19150.com/edu/19062.html